澤攸科技ZEM系列臺式掃描電鏡在高溫壓電陶瓷精修與相結構解析中的應用
日期:2025-04-23
壓電陶瓷作為機電耦合系統中的核心功能材料,通過其固有的正/逆壓電效應實現電能與機械能的雙向轉換,在航空航天作動器、核反應堆輻射環境、水下換能器等極端工況中具有重要應用。隨著工業系統的發展,對兼具高居里溫度(Tc≥350°C)和高壓電系數(d33>500 pC/N)的新一代壓電陶瓷需求日益迫切。傳統鋯鈦酸鉛(PZT)陶瓷雖因簡單的制備工藝和準同型相界(MPB)附近優異的壓電性能被廣泛應用,但其居里溫度通常低于380°C,實際工作溫度受熱退極化效應限制僅能達到Tc的一半(約200°C),難以滿足高溫應用需求。基于鈣鈦礦結構容忍因子與居里溫度的關聯性,低容忍因子的BiScO?-PbTiO?(BS-PT)體系因其在MPB區域表現出d33=460 pC/N的高壓電響應和Tc~450°C的高居里溫度,成為高溫壓電陶瓷的理想候選材料。

盡管BS-PT體系具有優異的綜合性能,但現有改性策略仍存在顯著局限性。通過引入第三組元(如CaTiO?、LiNbO?等)雖可提升壓電性能,但低居里溫度的端元組分(如Pb(Ni?/?Nb?/?)O?和Pb(Zn?/?Nb?/?)O?的Tc分別僅為-120°C和140°C)會顯著降低體系的Tc和熱穩定性。此外,傳統BS-PT陶瓷在高溫下的應變響應和介電損耗性能仍需優化,其退極化行為和工作溫度范圍內的性能波動限制了其在寬溫域高穩定性執行器中的應用。因此開發一種既能維持高居里溫度,又能通過結構設計協同提升壓電性能和溫度穩定性的新型改性策略,成為當前高溫壓電材料研究的核心挑戰。

針對上述研究背景與現存問題,武漢理工大學利用澤攸科技ZEM系列臺式掃描電鏡進行了深入研究,該團隊通過將高居里溫度的弛豫鐵電體Pb(In?/?Nb?/?)O?(PIN)引入BiScO?-PbTiO?(BS-PT)體系,成功開發出0.05PIN-(0.95-x)BS-xPT(PIN-BS-xPT)三元壓電陶瓷,解決了傳統改性策略中居里溫度下降和熱穩定性不足的問題。相關成果以“Structure, electrical properties and temperature stability of Pb(In?/?Nb?/?)O?-BiScO?-PbTiO? high-temperaturepiezoelectric ceramics”為題發表在SSRN上。

本研究聚焦于開發兼具高壓電響應和優異溫度穩定性的新型高溫壓電陶瓷,通過將高居里溫度的弛豫鐵電體Pb(In?/?Nb??)O?(PIN)引入BiScO?-PbTiO?(BS-PT)體系,構建了0.05PIN-(0.95-x)BS-xPT(PIN-BS-xPT)三元固溶體。研究采用傳統固相反應法制備陶瓷,系統考察了不同PbTiO?(PT)含量(x=0.57–0.62)對材料相結構、微觀形貌、介電/壓電性能及溫度穩定性的影響。

圖 PIN-BS-xPT陶瓷的Rietveld精修結果
X射線衍射(XRD)和Rietveld精修分析表明,隨著PT含量增加,陶瓷的晶體結構從菱方相(R3m)逐漸轉變為四方相(P4mm),并在x=0.59附近形成準同型相界(MPB),該區域因多相共存和極化協同效應展現出優異的壓電性能。掃描電鏡顯示所有組分均具有致密微觀結構,平均晶粒尺寸約3 μm,且無明顯氣孔,確保了良好的機械性能。

圖 PIN-BS-xPT陶瓷斷口表面的SEM圖像
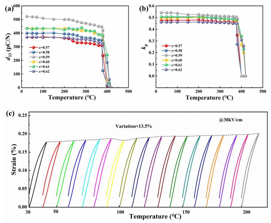
電學性能測試表明,MPB組分(x=0.59)表現出d??=522 pC/N、k?=0.56、TC=402°C的性能,遠優于傳統BS-PT陶瓷。通過Rayleigh分析發現,高壓電響應源于PIN引入的局域結構異質性和MPB區域增強的可逆/不可逆疇壁運動。此外,該組分在20 kV/cm電場下可產生0.12%的高應變,且應變滯后(HS)低于30%,適用于高精度執行器應用。

圖 PIN-BS-xPT陶瓷的溫度穩定性
溫度穩定性研究表明,PIN-BS-0.59PT陶瓷在300°C退火后仍保留90%的初始d??值,且在30–200°C范圍內應變波動僅13.5%,展現出優異的抗熱退極化能力。這種穩定性歸因于PIN的高TC(320°C)和BS-PT基體的固有高溫特性,使得材料在極端環境下仍能保持可靠性能。該研究通過PIN-BS-PT三元體系設計,成功實現了壓電性能與溫度穩定性的協同優化,為高溫壓電器件(如航空航天作動器、核能傳感器等)提供了高性能材料解決方案。研究成果不僅拓展了BS-PT基陶瓷的應用范圍,也為后續開發新型高溫壓電材料提供了理論指導。澤攸科技ZEM系列臺式掃描電鏡是一款集成度高、便攜性強且經濟實用的科研設備。它具備快速抽真空、高成像速度、多樣的信號探測器選擇,適用于形貌觀測和成分分析,還能適配多種原位實驗需求。該設備對安裝環境要求低,不挑樓層,操作簡單,非專業人士也能快速上手,且購買及維護成本均低于落地式掃描電鏡,現已成為許多高校、研究所和企業的選擇設備之一。
作者:澤攸科技
